SOAL DAN PEMBAHASAN BUKU SISWA MATEMATIKA KELAS 8 SEMESTER 2 LATIHAN 6.3 HALAMAN 31 TAHUN 2021
1.  Manakah diantara kelompok tiga bilangan yang membentuk segitiga siku siku ,
     segitiga lancip,dan segitiga tumpul?
     a. 13,9,11                
     b. 8,17,15                
     c. 130,120,50               
     d. 12,6,5            
     e. 10,20,24
     f. 18,22,12
     g. 1,73;2,23;1,41
     h. 12,36,35
     Pembahasan:
     Yang merupakan segitiga siku-siku adalah :
     b.  17² = 8² + 15²
          289 = 64 + 225
          289 = 289
     c.  130² = 120² + 50²
          16900 = 14400 + 2500
          16900 = 16900
     Yang merupakan segitiga lancip :
     a.  13² < 9² + 11²
          169 < 81 + 121
          169 < 202
     g.  2,23² < 1,41² + 1,73²
          4,9729 < 1,9881 + 2,9929
          4,9729 < 4,981
     h.  36² < 12² + 35²
          1296 < 144 + 1225
          1296 < 1369
     Yang merupakan segitiga tumpul adalah
     d.  16² > 12² + 5
          256 > 144 + 25
          256 > 169
     e.  24² > 20² + 10²
          576 > 400 + 100
          576 > 500
     f.   22² > 18² + 12²
          484 > 324 + 144
          484 > 468
2.  Manakah diantara kelompok tiga bilangan berikut yang merupakan 
     tripel pythagoras? 
     a.  10,12,14 
     b.  7,13,11 
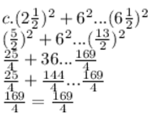
     c.  6, 2 1/2 , 6 ½
     Pembahasan:
     a.  10² + 12² … 14²
          100 + 144 … 196
          244 >196
          Bukan tripel phytagoras
     b.  7² + 11² … 13²
          49 + 121 … 169
          170 > 169
          Bukan tripel phytagoras
     Merupakan tripel phytagoras
     Jadi, kelompok 3 bilangan yang memenuhi tripel phytagoras adalah no c
3.  Tentukan apakah segitiga KLM dengan titik K(6,-6), L(39,-12), dan M(24,18) adalah 
     segitiga sembarang, segitiga sama kaki, atau segitiga sama sisi. jelaskan pendapatmu!
     Pembahasan:
     Kita cari panjang sisi-sisinya terlebih dahulu, dengan menggunakan rumus pythagoras
     c = √(a² + b²)
     Dengan c sisi terpanjang (sisi miring)
     Kita cari panjang KL
     KL = √{(y2 – y1)² + (x2-x1)²}
     KL = √{(-12-(-6))² + (39 – 6)²}
     KL = √{(-6)² + 33²}
     KL = √(36 + 1089)
     KL = √1125
     KL = 33,5 satuan
     Kita cari panjang KM
     KM =  √{(y2 – y1)² + (x2-x1)²}
     KM = √{(18-(-6)² + (24-6)²}
     KM = √(24² + 18²)
     KM = √(576 + 324)
     KM = √900
     KM = 30 satuan
     Kita cari panjang LM
     LM = √{(y2 – y1)² + (x2-x1)²}
     LM = √{(18-(-12)² + (24-39)²}
     LM = √{30² + (-15)²}
     LM = √(900 + 225)
     LM = √1125
     LM = 33,5 satuan
     Karena ada dua sisi yang sama panjangnya yaitu sisi KL dan LM, sehingga dapat 
     disimpulkan bahwa segitiga KLM adalah segitiga sama kaki
4.  Jika 32, x, 68 adalah tripel Pythagoras . Berapakah nilai x? 
     Tunjukan bagaimana kalian mendapatkannya.
     Pembahasan:
     Diketahui panjang sisi-sisi suatu segitiga, yaitu 
     a = 32, b = x, dan c = 68.
     Dengan menggunakan rumus Pythagoras, diperoleh
     a² + b² = c²
     ⇔ 32² + x² = 68²
     ⇔ x² = 68² – 32²
     ⇔ x² = 4.624 – 1.024
     ⇔ x² = 3.600
     ⇔ x = √3.600
     ⇔ x = √60²
     ⇔ x = 60
     Jadi, jika 32, x, 68 adalah Tripel Pythagoras, maka x adalah 60.
5.  Bilangan terkecil dari tripel pythagoras adalah 33. Tentukan tripel pythagoras. 
     Jelaskan bagaimana kalian menemukan dua bilangan lainnya.
     Pembahasan:
     Diketahu bilangan terkecil tripel pythagoras adalah 33.
     Karena bilangan terkecil adalah kelipatan 3, maka dapat dibandingkan dengan 
     bilangan tripel pythagoras dengan bilangan terkecil 3.
     Sudah diketahui bahwa (3,4,5) adalah bilangan tripel pythagoras sehingga    
     untuk setiap x bilangan bulat positif, bilangan-bilangan (3x, 4x, 5x) 
     juga merupakan tripel pythagoras.
     Jadi
     a = 3 . 11 = 33
     b = 4 . 11 = 44
     c = 5 . 11 = 55
     Sehingga didapatkan
     332 + 442 = 552
     1089 + 1936 = 3025
     3025 = 3025 merupakan tripel Pythagoras.
     Jadi dua bilangan lainnya adaalah 44 dan 55.
6.  Bingkai jendela yang terlihat berbentuk persegi panjang dengan tinggi 408 cm, 
     panjang 306 cm, dan panjang salah satu diagonalnya 525 cm. 
     Apakah bingkai jendela tersebut benar benar persegi panjang? Jelaskan.
     Pembahasan:
     Segiempat disebut persegi panjang jika panjang, lebar dan diagonalnya membentuk 
     Tripel Pythagoras.
     d2 = p² + l² 
     5252 = 306² + 408²
     275.625 = 93.636 + 166.464
     275.625 = 260.100
     260.100 tidak sama dengan 275.625
     Karena tidak sama dengan, maka bukan persegi panjang
7.  Panjang sisi-sisi segitiga adalah 1 cm, 2a cm, dan 3a cm. Buktikan bahwa 
     ketiga ukuran tersebut bukan merupakan triple Pythagoras. 
     a.  Jika (p – q), p, (p + q) membentuk triple phytagoras, tentukan hubungan antara p dan q
     b.  Jika p = 8, tentukan triple Pythagoras.
     Pembahasan:
     Panjang sisi-sisi segitiga adalah 1 cm, 2a cm, dan 3a cm. Buktikan bahwa 
     ketiga ukuran tersebut bukan merupakan triple Pythagoras. 
     1² + (2a)² … (3a)²
     1 + 4a² … 9a²
     1 + 4a² ≠ 9a²
     Sehingga ketiga ukuran tersebut bukan merupakan triple Phytagoras
     a.  Jika (p – q), p, (p + q) membentuk triple phytagoras, tentukan hubungan antara p dan q
          (p – q)² + p² = (p + q)²
          p² – 2pq + q² + p² = p² + 2pq + q²
          p² – 2pq + q² + p² – p² – 2pq – q² = 0
          p² – 4pq = 0
          p (p – 4q) = 0
          p = 0 atau p – 4q = 0
          p = 0 atau p = 4q
          p = 0 tidak memenuhi, maka p = 4q
     b.  Jika p = 8, tentukan triple Pythagoras
          p = 8 substitusikan ke persamaan p = 4q
          p = 4q
          8 = 4q
          q = 8/4 = 2
          (p – q) = 8 – 2 = 6
          p = 8
          (p + q) = 8 + 2 = 10
          Jadi terbukti triple Phytagoras : 6 ,8, 10
8.  Perhatikan segitiga ABC berikut ini. BD = 4cm, AD = 8cm, dan CD = 16cm. 
     a.  Tentukan panjang AC
     b. Tentukan panjang AB
     c.  Apakah segitiga ABC adalah segitiga siku? Jelaskan.
     Pembahasan:
     a.   Perhatikan  Δ ADC
           AC² = CD² + AD²
           AC² = 16² + 8²
           AC² = 256 + 64
           AC² = 320
           AC = √320
           AC = √64 x √5
           AC = 8√5 cm
           Jadi panjang AC adalah 8√5 cm
     b.  Perhatikan Δ ADB
          AB² = BD² + AD²
          AB² = 4² + 8²
          AB² = 16 + 64
          AB² = 80
          AB = √80
          AB = √16 x √5
          AB = 4√5 cm
          Jadi panjang AB adalah 4√5 cm
     c.  Pembuktian apakah Δ ABC merupakan segitiga siku-siku 
          dengan mengguanakan pythagoras.
          BC² = AC² + AB²
          (16 + 4)² = (8√5)² + (4√5)²
          20² = (64 × 5) + (16 × 5)
          400 = 320 + 80
          400 = 400
          Karena hasilnya sama dengan, maka Δ ABC adalah siku-siku.
9.  Diketahui persegi panjang ABCD. Terdapat titik P sedemikian sehingga 
     PC = 8cm, PA = 6cm, dan PB = 10cm. Dapatkah kalian menentukan jarak 
     titik P dan D? Bagaimana kalian menentukanya?
     Pembahasan:
     Kemungkinan I :
     Diketahui : 
     PC = 8 cm
     PA = 6 cm
     PB = 10 cm 
     Pada gambar persegi panjang ABCD, kita lihat
     ∠ APB, ∠ BPC, ∠ CPD dan ∠ APD tidak ada yang siku-siku.
     Jadi Δ CPD dan Δ APB tidak bisa kita pythagoraskan langsung.
     Kita tarik garis merah yang tegak lurus melalui titik P agar terbentuk 
     segitiga siku-siku, karena syarat pythagoras adalah salah satu sudut 
     pada segitiga haruslah siku-siku dan kedua sisi tegak lurus.
     Ada 4 garis diagonal yang terdiri dari 4 segitiga siku-siku 
     Keempat diagonal tersebut kita masukan kedalam rumus pythagoras 
     yaitu c² = a² + b², maka PD² = b² + c²
     PA² = a² + b²
     6² = a² + b²
     b² = 6² – a²
      PB² = a² + d²
     10² = a² + d²
     d² = 10² – a²
     PC² = c² + d²
     8² = c² + d²
     c² = 8² – d²
     PD² = b² + c²
     PD² = (6² – a²) + (8² – d²)
     PD² = 6² – a² + 8² – (10² – a²)
     PD² = 6² – a² + 8² – 10² + a²
     PD² =  6² + 8² – 10²
     PD² = 36 + 64 – 100
     PD² = 100 – 100
     PD = 0
     Karena hasilnya nol kemungkinan ada kekeliruan pada soal.
     Kemungkinan II : 
     Saya akan menukarkan ukurannya antara PC dan PB
     Diketahui : 
     PC = 10 cm
     PA = 6 cm
     PB = 8 cm 
     Ditanya : 
     PD = … ?
    Jawab : 
     PA² = a² + b²
     6² = a² + b²
     b² = 6² – a²
     PB² = a² + d²
     8² = a² + d²
     d² = 8² – a²
     PC² = c² + d²
     10² = c² + d²
     c² = 10² – d²
     PD² = b² + c²
     PD² = (6² – a²) + (10² – d²)
     PD² = 6² – a² + 10² – (8² – a²)
     PD² = 6² – a² + 10² – 8² + a²
     PD² =  6² + 10² – 8²
     PD² = 36 + 100 – 64
     PD² = 136 – 64
     PD² = 72
     PD = √72
     PD = √36 x √2 
     PD = 6√2 cm 
     Jadi jara k titik P dan D adalah 6√2 cm
     cara cepat :
     PD² + PB² = PA² + PC²
     PD² + 8² = 6² + 10²
     PD² = 6² + 10² – 8²
     PD² = 36 + 100 – 64
     PD² = 136 – 64
     PD² = 72
     PD = √72
     PD = 6√2 cm
     Jadi jara k titik P dan D adalah 6√2 cm
Selamat belajar semoga bermanfaat.



