Gambarkan grafik bentuk nilai mutlak berikut dengan memanfaatkan definisi 1.1
a. y = |x – 2|.
b. y = |x + 2|,
c. y = |2x – 1|
Pembahasan :
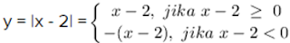
a. y = |x – 2|.
Berdasarkan definisi nilai mutlak, maka diperoleh
Beberapa titik bantu yang dilewati grafik fungsi y = |x – 2|.
x = -2 ⇒ y = |-2 – 2|
y = |-4| = 4 (-2, 4)
x = -1 ⇒ y = |-1 – 2|
y = |-3| = 3 (-1, 3)
x = 0 ⇒ y = |0 – 2|
y = |-2| = 2 (0, 2)
x = 1 ⇒ y = |1 – 2|
y = |-1| = 1 (1, 1)
x = 2 ⇒ y = |2 – 2|
y = 0 (2, 0)
x = 3 ⇒ y = |3 – 2|
y = |1| = 1 (3, 1)
x = 4 ⇒ y = |4 – 2|
y = |2| = 2 (4, 2)
x = 5 ⇒ y = |5 – 2|
y = |3| = 3 (5, 3)
x = 6 ⇒ y = |6 – 2|
y = |4| = 4 (6, 4)
Perhatikan grafiknya di bawah:
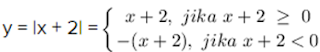
b. y = |x + 2|
Berdasarkan definisi nilai mutlak, maka diperoleh
Beberapa titik bantu yang dilewati grafik fungsi y = |x + 2|.
x = -6 ⇒ y = |-6 + 2|
y = |-4| = 4 (-6, 4)
x = -5 ⇒ y = |-5 + 2|
y = |-3| = 3 (-5, 3)
x = -4 ⇒ y = |-4 + 2|
y = |2| = 2 (-4, 2)
x = -3 ⇒ y = |-3 + 2|
y = |-1| = 1 (-3, 1)
x = -2 ⇒ y = |-2 + 2|
y = 0 (-2, 0)
x = -1 ⇒ y = |-1 + 2|
y = |1| = 1 (-1, 1)
x = 0 ⇒ y = |0 + 2|
y = |2| = 2 (0, 2)
x = 1 ⇒ y = |1 + 2|
y = |3| = 3 (1, 3)
x = 2 ⇒ y = |2 + 2|
y = |4| = 4 (2, 4)
Perhatikan grafiknya di bawah:
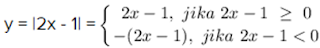
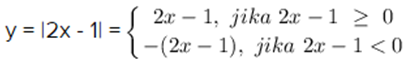
c. y = |2x – 1|
Berdasarkan definisi nilai mutlak, maka diperoleh
Beberapa titik bantu yang dilewati grafik fungsi y = |2x – 1|.
x = -3 ⇒ y = |2(-3) – 1| = |-6 – 1|
y = |-7| = 7 (-3, 7)
x = -2 ⇒ y = |2(-2) – 1| = |-4 – 1|
y = |-5| = 5 (-2, 5)
x = -1 ⇒ y = |2(-1) – 1| = |-2 – 1|
y = |-3| = 3 (-1, 3)
x = 0 ⇒ y = |2(0) – 1|
y = |-1| = 1 (0, -1)
x = 1 ⇒ y = |2(1) – 1|
y = |1| = 1 (1, 1)
x = 2 ⇒ y = |2(2) – 1|
y = |3| = 3 (2, 3)
x = 3 ⇒ y = |2(3) – 1|
y = |5| = 5 (3, 5)
x = 4 ⇒ y = |2(4) – 1|
y = |7| = 7 (4, 7)
Perhatikan grafiknya di bawah:



