SOAL DAN PEMBAHASAN BUKU SISWA MATEMATIKA KLS 8 THN 2019 HAL 167
Pembahasan:
a. Diketahui :
Kemiringan (m) = 1/2
melalui titik (0 , -1) artinya x1 = 0 dan y1 = -1
Persamaan garis yang melalui satu titik (x₁, y₁) dan kemiringan m adalah y – y₁= m (x – x₁)
y – y₁ = m (x – x₁)
y – (-1) = 1/2 (x – 0)
y + 1 = 1/2 x
y = 1/2 x – 1
2y = x – 2 (kedua ruas dikali 2)
x – 2y – 2 = 0
Jadi persamaan garisnya adalah y = 1/2 x – 1 atau x – 2y – 2 = 0
b. Diketahui :
Kemiringan (m) = -1
melalui titik (0 , 3) artinya x1 = 0 dan y1 = 3
Persamaan garis yg melalui satu titik (x₁, y₁) dan kemiringan m adalah y – y₁= m (x – x₁)
y – y₁ = m (x – x₁)
y – 3 = -1 (x – 0)
y – 3 = -1 x
y = -x + 3
x + y – 3 = 0
Jadi persamaan garisnya adalah y = -x + 3 atau x + y – 3 = 0
Pembahasan:
a. Diketahui :
Kemiringan (m) = 3/5
melalui titik (5 , 9) artinya x1 = 5 dan y1 = 9
Persamaan garis yg melalui satu titik (x₁ , y₁) dan kemiringan m adalah y – y₁ = m (x – x₁)
y – y₁ = m (x – x₁)
y – 9 = 3/5 (x – 5)
y – 9 = 3/5 x – 3
y = 3/5 x – 3 + 9
y = 3/5 x + 6 (kedua ruas dikali 5)
5y = 3x + 30
3x – 5y + 30 = 0
Jadi persamaan garisnya adalah y = 3/5 x + 6 atau 3x – 5y + 30 = 0
b. Diketahui :
Kemiringan (m) = -1/2
melalui titik (6 , 3) artinya x1 = 6 dan y1 = 3
Persamaan garis yg melalui satu titik (x₁, y₁) dan kemiringan m adalah y – y₁= m (x – x₁)
y – 3 = -1/2 (x – 6)
y – 3 = -1/2 x + 3
y = -1/2 x + 3 + 3
y = -1/2 x + 6 (kedua ruas dikali 2)
2y = -x + 12
x + 2y – 12 = 0
Jadi persamaan garisnya adalah y = -1/2 + 6 atau x + 2y – 12 = 0
Pembahasan:
a.Diketahui : titik (2 , 6) dan titik (-1 , -4)
Ditanya : persamaan garis
Jawab :
Persamaan garis yg melalui dua titik (x₁ , y₁) dan (x₂ , y₂) adalah
(y – y₁) / (y₂ – y₁) = (x – x₁) / (x₂ – x₁)
x1 = 2 , y1 = 6 dan x2 = -1 , y2 = -4
(y – y₁) / (y₂ – y₁) = (x – x₁) / (x₂ – x₁)
(y – 6) / (-4 – 6) = (x – 2) / (-1 – 2)
(y – 6) / -10 = (x – 2) / -3
-10 (x – 2) = -3 (y – 6) gunakan perkalian silang
-10x + 20 = -3y + 18
-10x + 3y + 20 – 18 = 0
-10x + 3y + 2 = 0
10x – 3y – 2 = 0 semua suku kali -1
Jadi persamaan garisnya adalah 10x – 3y – 2 = 0
b. Diketahui : titik (1 , 3) dan titik (8 , -5)
Ditanya : persamaan garis
Jawab :
x1 = 1 , y1 = 3 dan x2 = 8 , y2 = -5
Persamaan garis yg melalui dua titik (x₁ , y₁) dan (x₂ , y₂) adalah
(y – y₁) / (y₂ – y₁) = (x – x₁) / (x₂ – x₁)
(y – 3) / (-5 – 3) = (x – 1) / (8 – 1)
(y – 3) / -8 = (x – 1) / 7
-8 (x – 1) = 7 (y – 3) gunakan perkalian silang
-8x + 8 = 7y – 21
-8x – 7y + 8 + 21 = 0
-8x – 7y + 29 = 0
8x + 7y – 29 = 0
Jadi persamaan garisnya adalah 8x + 7y – 29 = 0
4. Tentukan persamaan garis lurus jika diketahui informasi berikut ini.
a. Memiliki kemiringan − 1/3 dan melalui perpotongan sumbu-y di titik (0,4).
b. Memiliki kemiringan −4 dan melalui (1, −2).
c. Melalui titik (1, 6) dan (7, 4).
d. Melalui (−2, −1) dan sejajar dengan garis y = x − 6
e. Sejajar sumbu-x dan melalui (−3, 1).
f. Sejajar sumbu-y dan melalui (7, 10).
g. Melalui (−2, 1) dan tegak lurus dengan garis yang melalui titik (−5, −4)
dan (0, −2).
a. Memiliki kemiringan − 1/3 dan melalui perpotongan sumbu-y di titik (0,4).
b. Memiliki kemiringan −4 dan melalui (1, −2).
c. Melalui titik (1, 6) dan (7, 4).
d. Melalui (−2, −1) dan sejajar dengan garis y = x − 6
e. Sejajar sumbu-x dan melalui (−3, 1).
f. Sejajar sumbu-y dan melalui (7, 10).
g. Melalui (−2, 1) dan tegak lurus dengan garis yang melalui titik (−5, −4)
dan (0, −2).
Pembahasan:
a. Diketahui : m = -1/3 , x = 0 , y = 4
Ditanyakan : persamaan garis
Jawab :
4 = -1/3(0) + c
4 = 0 + c
c = 4
Jadi persamaan garisnya
y = mx + c
y = -1/3 x + 4
Ditanyakan : persamaan garis
Jawab:
y = mx + c
-2 = -4(1) + c
-2 = -4 + c
c = -2 + 4 = 2
Jadi persamaan garisnya
y = mx + c
y = -4x + 2
c. Diketahui : titik (1 , 6) dan titik (7 , 4)
Ditanya : persamaan garis
x1 = 1 , y1 = 6 dan x2 = 7 , y2 = 4
Persamaan garis yg melalui dua titik (x₁ , y₁) dan (x₂ , y₂) adalah (y – y₁) / (y₂– y₁) = (x – x₁) / (x₂– x₁)
(y – y₁) / (y₂ – y₁) = (x – x₁) / (x₂ – x₁)
(y – 6) / (4 – 6) = (x – 1) / (7 – 1)
(y – 6) / -2 = (x – 1) / 6
-2 (x – 1) = 6 (y – 6) gunakan perkalian silang
-2x + 2 = 6y – 36
-2x – 6y + 2 + 36 = 0
-2x – 6y + 34 = 0
2x + 6y – 34 = 0
Jadi persamaan garisnya adalah 2x + 6y – 34 = 0
Atau persamaan yang lain
2x + 6y – 34 = 0
2/6 x + 6/6 y – 34/6 = 0 semua ruas dibagi 6
1/3 x + y – 19/3 = 0
y = -1/3 x + 19/3
d. Diketahui : x= -2 , y = -1
garis y = x – 6 diperoleh m = 1 karena y = mx + c
Ditanyakan : persamaan garis
Jawab:
Karena sejajar
m1 = m2 = 1
y = mx + c
-1 = 1(-2) + c
-1 = -2 + c
c = -1 + 2
c = 1
Jadi persamaan garisnya
y = mx + c
y = x + 1 atau x – y + 1 = 0
e. Sebuah garis yang sejajar sumbu x memiliki gradien m sebesar 0.
x = -1 , y = 1 sehingga
1 = 0(-1) + c
1 = 0 + c
c = 1
y = mx + c
y = 0x + 1
y = 1
f. Garis yang sejajar sumbu y memiliki nilai gradien m = ∞ dibaca m = tak terhingga
Karena m = ∞, dan x1 = 7 , y1= 10 maka
0 = x – 7
x = 7
Jadi persamaan garisnya x = 7
g. Langkah pertama, tentukan nilai gradien dari garis yang melalui titik (-5,-4) dan (0,-2)
Gradien dari garis ini adalah m = 2/5
Garis yang ditanyakan tegak lurus terhadap garis di atas, maka gradien garis ini
m1 x m2 = -1
m2 = -1 / m1
m2 = -1 x 5/2
m2 = -5/2
Karena x = -2 , y = 1 gunakan persamaan
y = mx + c
1 = -5/2 (-2) + c
1 = 5 + c
c = 1 – 5 = -4
Jadi persamaan garisnya
y = mx + c
y = -5/2 x – 4
5. Tentukan persamaan garis yang melalui (7, 2) dan sejajar dengan garis 2x − 5y = 8
Pembahasan:
Diketahui : x = 7 , y = 2 dan sejajar garis 2x – 5y = 8
Ditanyakan : persamaan garis
Jawab:
2x – 5y = 8
2x – 5y -8 = 0 diperoleh a = 2 , b = -5 , c = -8
Gradien m = -a/b = -2/-5 = 2/5
Karena sejajar
m1 = m2 = 2/5
y = mx + c
2 = 2/5 (7) + c
2 = 14/5 + c
c = 2 – 14/5
c = 10/5 – 14/5
c = -4/5
y = mx + c
y = 2/5 x – 4/5 atau 5y = 2x – 4 atau 2x – 5y – 4 = 0
6 Tentukan persamaan garis yang tegak lurus 2y + 2 = −7/4(x − 7) dan melalui titik (−2, −3).
Pembahasan:
Diketahui : x = -2 , y = -3 dan tegak lurus garis 2y + 2 = −7/4(x − 7)
Ditanyakan : persamaan garis
Jawab:
2y + 2 = −7/4(x − 7)
2y + 2 = −7/4 x + 49
7/4 x + 2y + 2 – 49 = 0
7/4 x + 2y – 47 = 0 semua ruas kali 4
7x + 8y – 188 = 0 diperoleh a = 7 , b = 8 , c = -188
Gradien m = -a/b = -7/8
Karena saling tegak lurus maka
m1 = -1 x 8/-7
m1 = 8/7
Gunakan persamaan
y = mx + c
-3 = 8/7 (-2) + c
-3 = -16/7 + c
c = -3 + 16/7
c = -21/7 + 16/7
c = -5/7
Jadi persamaan garisnya
y = mx + c
y = 8/7 x – 5/7 atau 7y = 8x – 5 atau 8x – 7y – 5 = 0
7. Tentukan persamaan garis lurus untuk masing-masing garis berikut
a. k
b. l
c. m
d. n
e. tegak lurus garis l dan melalui (-1,6)
f. sejajar garis k dan melalui (7,0)
g. sejajar garis n dan melalui (0,0)
h. tegak lurus garis m dan melalui (-3,-3)
b. l
c. m
d. n
e. tegak lurus garis l dan melalui (-1,6)
f. sejajar garis k dan melalui (7,0)
g. sejajar garis n dan melalui (0,0)
h. tegak lurus garis m dan melalui (-3,-3)
Pembahasan:
Jawab :
x1 = -3 , y1 = 7 dan x2 = 0 , y2 = -2
Persamaan garis yg melalui dua titik (x₁ , y₁) dan (x₂ , y₂) adalah (y – y₁) / (y₂– y₁) = (x – x₁) / (x₂– x₁)
(y – y₁) / (y₂ – y₁) = (x – x₁) / (x₂ – x₁)
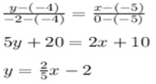
(y – 7) / (-2 – 7) = (x – (-3)) / (0 – (-3))
(y – 7) / -9 = (x + 3) / 3
-9 (x + 3) = 3 (y – 7) gunakan perkalian silang
-9x – 27 = 3y – 21
-9x – 3y – 27 + 21 = 0
-9x – 3y – 6 = 0
9x + 3y + 6 = 0
Jadi persamaan garisnya adalah 9x + 3y + 6 = 0
Jawab :
x1 = 0 , y1 = 5 dan x2 = -5 , y2 = 0
Persamaan garis yg melalui dua titik (x₁, y₁) dan (x₂, y₂) adalah (y – y₁) / (y₂– y₁) = (x – x₁) / (x₂– x₁)
(y – y₁) / (y₂ – y₁) = (x – x₁) / (x₂ – x₁)
(y – 5) / (0 – 5) = (x – 0) / (-5 – 0)
(y – 5) / -5 = x / -5
-5 x = -5 (y – 5) gunakan perkalian silang
-5x = -5y + 25
5x – 5y + 25 = 0 atau x – y + 5 = 0 atau y = x + 5 sehingga m = 1
Jawab :
x1 = 2 , y1 = 0 dan x2 = 3 , y2 = 2
Persamaan garis yg melalui dua titik (x₁ , y₁) dan (x₂ , y₂) adalah (y – y₁) / (y₂– y₁) = (x – x₁) / (x₂– x₁)
(y – y₁) / (y₂ – y₁) = (x – x₁) / (x₂ – x₁)
(y – 0) / (2 – 0) = (x – 2) / (3 – 2)
y / 2 = (x – 2) / 1
2(x – 2) = 1 y gunakan perkalian silang
2x – 4 = y
2x – y – 4 = 0 atau y = 2x – 4 sehingga m = 2
d. Persamaan garis n yang melalui titik (0,6) dan (7,5) adalah
Jawab :
x1 = 0 , y1 = 6 dan x2 = 7 , y2 = 5
Persamaan garis yg melalui dua titik (x₁, y₁) dan (x₂ , y₂) adalah (y – y₁) / (y₂ – y₁) = (x – x₁) / (x₂ – x₁)
(y – y₁) / (y₂ – y₁) = (x – x₁) / (x₂ – x₁)
(y – 6) / (5 – 6) = (x – 0) / (7 – 0)
(y – 6) / -1 = x / 7
-x = 7(y – 6) gunakan perkalian silang
-x = 7y – 42
x + 7y – 42 = 0 atau 7y = -x + 42 atau y = -1/7 x + 6
gradien garis l = 1 atau m1 = 1 dan x = -1 , y = 6
karena tegak lurus maka m2 = -1/m1 = -1/1 = -1 didapatkan
y = mx + c
c = y – m(x)
c = 6 – (-1)(-1)
c = 6 – 1 = 5
Sehingga persamaannya adalah y = -x + 5
f. Sejajar garis k dan melalui (7,0)
gradien garis k = -3 , x = 7 , y = 0
sejajar garis k, artinya gradien garis tersebut = gradien k = -3
nilai c = y – m(x)
c = 0 – (-3)(7)
sejajar garis k, artinya gradien garis tersebut = gradien k = -3
nilai c = y – m(x)
c = 0 – (-3)(7)
c = 0 + 21
c = 21
Sehingga persamaannya adalah y = -3x + 21
c = 21
Sehingga persamaannya adalah y = -3x + 21
g. Sejajar garis n dan melalui (0,0)
gradien garis n = -1/7 , x = 0 , y = 0
sejajar garis n, artinya gradien garis tersebut = gradien n = -1/7
nilai c = y – m(x)
c = 0 – (-1/7)(0)
c = 0
sehingga persamaannya adalah y = -1/7x
h. Tegak lurus garis m dan melalui (-3,-3)
gradien garis m = 2 , x = -3 , y = -3
tegak lurus garis m, artinya gradien garis tersebut = -1/gradien m = -1/2
nilai c = y – m(x)
c = -3 – (-1/2)(-3)
c = -3 – 3/2
c = -6/2 – 3/2 = -9/2
c = -4,5
Sehingga persamaannya adalah y = -1/2x – 4,5
8. P berkoordinat di (8,3), Q berkoordinat di (4,6) dan O adalah titik asal.
a. Tentukan persamaan garis yang melalui P dan memiliki kemiringan sama dengan garis OQ .
b. Diketahui bahwa garis di soal a , melalui (k,1), tentukan nilai k.
a. Tentukan persamaan garis yang melalui P dan memiliki kemiringan sama dengan garis OQ .
b. Diketahui bahwa garis di soal a , melalui (k,1), tentukan nilai k.
Pembahasan:
P (8,3), Q (4,6) dan O (0,0)
a. Persamaan garis yang melalui P dan memiliki kemiringan sama dengan garis OQ
kemiringan OQ = m = y₁/x₁ = 6/4 = 3/2
persamaan garis dgn m = 3/2 melalui P(8,3) adalah
y – y₁ = m(x – x₁)
y – 3 = 3/2 (x – 8) –> kedua ruas dikali 2
2y – 6 = 3(x – 8)
2y – 6 = 3x – 24
3x – 2y – 24 + 6 = 0
3x – 2y – 18 = 0
b. Garis tersebut melalui (k,1), maka
3x – 2y – 18 = 0
3(k) – 2(1) -18 = 0
3k – 2 -18 = 0
3k – 20 = 0
3k = 20
k = 20/3
9. Persamaan garis l adalah 2y – x = 5 . Tentukan
a. Titik koordinat garis l yang memotong sumbu -x
b. Ttitik koordinat garis lyang memotong sumbu -y
c. Kemiringan garis l
d. Gambarkan garis l
a. Titik koordinat garis l yang memotong sumbu -x
b. Ttitik koordinat garis lyang memotong sumbu -y
c. Kemiringan garis l
d. Gambarkan garis l
Pembahasan:
2y – x = 5
2(0) – x = 5
0 – x = 5
-x = 5
x = -5
Jadi titik koordinat garis l yang memotong sumbu x = (-5 , 0)
b. Garis l memotong sumbu y sehingga x = 0
2y – x = 5
2y – 0 = 5
2y = 5
y = 5/2
Jadi titik koordinat garis l yang memotong sumbu y = (0 , 5/2)
2y – x = 5
2y = x + 5
y = ½ x + 5 kedua ruas dibagi 2
Jadi m = ½
d.
10. Garis k melalui titik A(-2,3) dan B(3,1). Garis l melalui titik C(-6,5) , D(-2,d) T(t,-5).
Garis k tegak lurus garis l . Tentukan nilai d dan t
Pembahasan:
Gradien garis k = (1 – 3) / (3 + 2) = -2/5
m garis k = -2/5 karena tegak lurus maka m garis l = 5/2
d – 5/4 = 5/2
2d – 10 = 20
2d = 10
d = 5
10/(-6-t) = 5/2
-30-5t = 20
-5t = 50
t = -10



