Tak Berkategori

SOAL DAN PEMBAHASAN BUKU SISWA MATEMATIKA KLS 8 THN 2019 HAL 157

Oktober 19, 2019
274
Views

SOAL DAN PEMBAHASAN BUKU SISWA MATEMATIKA KLS 8 THN 2019 HAL 157

1.  Tentukan kemiringan tangga ranjang dibawah ini.
      Pembahasan:
      tinggi tangga = 150 cm
      jarak tangga ke tempat tidur = 50 cm
      Kemiringan = perubahan panjang sisi tegak (vertikal) : perubahan panjang sisi tegak
      Kemiringan = 150 cm / 50 cm
      Kemiringan = 3
      Kesimpulan
      Jadi kemiringan tangga ranjang adalah 3
 2.  Pada tiap tiap diagram berikut P dan Q merupakan dua titik pada garis
      a.  Tentukan kemiringan setiap garis
      b.  Pilihlah dua titik lain dan hitunglah kemiringannya.apakah kemiringannya juga berubah?
           mengapa?
           Pembahasan:
           

     a.    Untuk gambar (i)

            Titik P (1, 1) dan titik Q (2, 4) 
            maka kemiringan garis pada gambar (i) adalah
            m = (y2 – y1) / (x2 – x1)
            m = (4 – 1) / (2 – 1)
            m = 3/1
            m  = 3
            Untuk gambar (ii)
            Titik P (-1, 2) dan titik Q (1, 1)
            maka kemiringan garis pada gambar (ii) adalah
            m = (y2 – y1) / (x2 – x1)
            m = (1 – 2) / (1 – (- 1))
            m = (1 – 2) / (1 + 1)
            m = -1/2
     b.  Untuk menjawab yang b, kita ambil 2 titik sembarang, misalkan titik P (4,6) dan titik Q (10.5),
          maka kemiringan garis adalah
          m = (5 – 6) / (10 – 4)
          m = -1/6

          Ternyata kemiringannya berubah, mengapa bisa berubah karena hasil pengurangan (y2 – y1)
          dan (x2 – x1) berubah.            

3.  Jelaskan cara menentukan kemiringan garis lurus yang melalui dua titik berikut:
     a.  (2, 3) dan (6, 8) 
     b. (-4, 5) dan (-1, 3)
     Pembahasan
     a.  Kemiringan garis lurus yang melalui dua titik berikut: a. (2, 3) dan (6, 8)
          m = (y2 – y1) / (x2 – x1)
          m = (8 – 3) / (6 – 2)
          m = 5/4
     b.  Kemiringan garis lurus yang melalui dua titik berikut: b.(-4,5) dan (-1,3)
          m = (y2 – y1) / (x2 – x1)
          m = (3 – 5) / (-1 -(-4))
          m = (3 – 5) / (-1 + 4)
          m = -2/3
          Kesimpulan:
          Kemiringan garis lurus yang melalui dua titik  (2,3) dan (6,8) adalah 5/4
          Kemiringan garis lurus yang melalui dua titik (-4,5) dan (-1,3) adalh -2/3
4.  Gambarlah grafik jika diketahui unsur-unsur berikut:
      a  (1, 1) dengan kemiringan 2/3
      b.  (0, -5) dengan kemiringan 3
      c.  (-2, 2) dengan kemiringan 0
      Pembahasan:
      a.  Persamaan garis jika melalui titik (1,1) dan m = 2/3
           x1  = 1 , dan y1 = 1
           y – y₁ = m (x – x₁)
           y – 1 = 2/3 (x – 1)  –> kedua ruas dikali 3
           3y – 3 = 2 (x – 1)
           3y – 3 = 2x – 2
           2x – 3y = -3 + 2
           2x – 3y = -1
     b.  Persamaan garis jika melalui titik (0,-5) dan m = 3
           x1  = 0 , dan y1 = -5
           y – y₁ = m (x – x₁)
           y – (-5) = 3 (x – 0)
           y + 5 = 3x
           3x – y = 5
     c.  Persamaan garis jika melalui titik (-2,2) dan m = 0
          x1  = -2 , dan y1 = 2
          y – y₁ = m (x – x₁)
          y – 2 = 0 (x – (-2))
          y – 2 = 0

          y = 2
          Grafiknya adalah sebagai berikut,
           
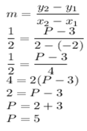
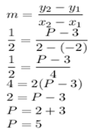
5.   Garis yang melalui titik A(-2, 3) Dan B(2, P) memiliki kemiringan 1/2 Tentukan nilai P
      Pembahasan:

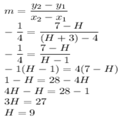
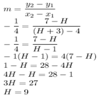
  6.  Kemiringan garis yang melalui titik (4, h) dan (h+3, 7) adalah -1/4.  Tentukan nilai h

       Pembahasan :

       Diketahui : x1 = 4 , y1 = h dan x2 = h + 3 ,  y2 = 7 , dan m = -1/4
       Pembahasan :
                   

 

Untuk soal nomor 7-12 diketahui dua titik pada garis I1dan garis I2,tanpa menggambar grafik,
tentukan apakah kedua garis tegak lurus, sejajar atau tidak keduanya.
7.  I1 : (2, 5) dan (4, 9)
     I2 : (-1, 4) dan (3, 2)
     Identifikasi masing-masing gradiennya:
     l1 : m1 = (9 – 5)/(4 – 2) = 4/2 = 2
     l2 : m2 = (2 – 4)/(3 – (-1)) = -2/4 = -1/2
     m1 x m2 = 2 x (-1/2) = -1 sehingga kedua garis saling tegak lurus
8.  I1 : (-3, -5) dan (1, 2)
      I2 : (0, 4) dan (7, 2)
      Identifikasi masing-masing gradiennya:
      l1 : m1 = (2 – (-5)) / (1 – (-3)) = 7/4
      l2 : m2 = (2 – 4)/(7 – 0) = -2/7
      Karena m1 tidak sama m2 dan m1 x m2 tidak sama -1.
      Maka tidak sejajar dan tegak lurus
9.  I1 : (4, -2) dan (3, -1)
      I2 : (-5, -1) dan (-10, -16)
      Identifikasi masing-masing gradiennya:
      l1 : m1 = (-1 – (-2)) / (3 – 4) = (-1 + 2) / -1 = 1/-1 = -1
      l2 : m2 = (-16 – (-1))/(-10 – (-5)) – 0) = (-16 + 1)/(-10 + 5) = -15/-5 = 3
      Karena m1 tidak sama m2 dan m1 x m2 tidak sama -1.
      Maka tidak sejajar dan tegak lurus
10.  I1 : (0, 0) dan (2, 3)
        I2: (-2, 5) dan (0, -2)
        Identifikasi masing-masing gradiennya:
        l1 : m1 = (3 – 0)/(2 – 0) = 3/2
        l2 : m2 = (-2 – 5)/(0 – (-2)) = -7/2
        Karena m1 tidak sama m2dan m1 x m2 tidak sama -1.
        Maka tidak sejajar dan tegak lurus
11.  I1 : (5, 3) dan (5, 9)
        I2: (4, 2) dan (0, 2)
        Identifikasi masing-masing gradiennya:
        l1 : m1 = (9 – 3)/(5 – 5) = 6/0
        l2 : m2 = (2 – 2)/(0 – 4) = 0/-4 = 0
        Karena m1 tidak sama m2dan m1 x m2 tidak sama -1.
        Maka tidak sejajar dan tegak lurus
12.  I1 : (3, 5) dan (2, 5)
        I2: (2, 4) dan (0, 4)
        Identifikasi masing-masing gradiennya:
        l1 : m1 = (5 – 5)/(2 – 3) = 0/-1 = 0
        l2 : m2 = (4 – 4)/(0 – 2) = 0/-2 = 0
        m1 x m2 = 6/0 x 0 = 0 gradiennya sama sehingga kedua garis saling sejajar
13. Garis yang melalui titik (-5, 2p) dan (-1, p) memiliki kemiringan yang sama dengan
       garis yang melalui titik (1, 2) dan (3, 1) tentukan nilai p.
       Pembahasan:
       Kemiringan garis pertama
       m.a =  (p – 2p)/(-1 – (-5)) = -p/4 
       Kemiringan garis kedua
       m.b =  (1 – 2)/(3 – 1) = -1/2
       Karena m.a = m.b, maka
        -p/4 = -1/2 
       -2p = -4
        p = -4/-2
        p = 2
14. Gambarlah grafik yang melalui titik W (6, 4) dan tegak lurus DE dengan D (0, 2) dan E (5,0).
       Pembahasan:
       Persamaan garis D dan E.
       Gradien DE adalah m = (0 – 2)/(5 – 0) = -2/5
       akan tegak lurus , jika :
       m1 x m2= – 1
       m2 = -1 : m1
       m2 = -1 : (-2/5)
       m2 = -1 x (5/-2)
       m2= 5/2
       Persaman garis yang tegak lurus adalah :
       y – y1 = m (x – x2)
       y – 4 = 5/2 (x – 6)   ————> x1 = 6  dan  y1 = 4
       y – 4 = 5/2 x  –  15 ————> kedua ruas kalikan 2
       2y – 8 = 5x – 30
       2y – 5x + 22 = 0
       untuk membuat grafik, kita butuh satu titik lagi,
       ambil x = 0 , maka :
       2y – 5(0) + 22 = 0
       2y + 22 = 0
       2y = -22
       y = – 11

       maka titik kedua (0, – 11)              
     

                     
15.  Penerapan kemiringan suatu garis

       Banyaknya laki laki berusia lebih dari 20 thn yang bekerja di suatu provinsi secara linier mulai  
       dari 1970 sampai 2005 di tunjukan oleh gambar dibawah. Pada tahun 1970, sekitar 430.000
       laki laki berusia 20 thn yang bekerja. Pada tahun 2005, jumlah ini meningkat menjadi 654.000.
       a. Tentukan kemiringan garis, gunakan titik (1970, 430) dan titik (2005, 654)

       b. Apa maksud dari kemiringan pada soal 15.a dalam konteks masalah ini?
           

       Pembahasan:

       a. Kemiringan garis antara tahun 1970 titik (1970, 430) sampai tahun 2005 titik (2005, 654)
           adalah
           m = (654 – 430)/(2005 – 1970) = 224/35 = 6,4
       b. Kemiringan grafik artinya jumlah pertumbuhan pekerja berusia 20 tahun ke atas pertahun.
           Dalam grafik di atas menunjukkan pertumbuhan penduduk berusia di atas 20 tahun yang

           bekerja nyaris tetap (linier) yaitu m 6,4 artinya tiap tahun bertambah 6400 orang per 1 tahun.