Tak Berkategori

SOAL DAN PEMBAHASAN BUKU SISWA MATEMATIKA KLS 8 LATIHAN 6.2 HAL 22 TH 2020

Januari 16, 2020
735
Views
SOAL DAN PEMBAHASAN BUKU SISWA MATEMATIKA KLS 8 LATIHAN 6.2 HAL 22 TH 2020
1.  Tentukan jarak antara dua titik dari pasangan berikut
     a.  (10 , 20)  dan (13 , 16)
     b.  (15 , 37) dan (42 , 73)
     c.  (-19 , -16) dan (-2 , 14)
     Pembahasan : 
     a.  (10 , 20)  dan (13 , 16)
          x= 10 dan y= 20

          x= 13 dan y= 16

          Jadi jarak pada titik (10 , 20)  dan (13 , 16) adalah 5 satuan

     b.  (15 , 37) dan (42 , 73)
          x= 15 dan y= 37
          x= 42 dan y= 73
          

          Jadi jarak pada titik (15 , 37) dan (42 , 73) adalah 45 satuan

     c.  (-19 , -16) dan (-2 , 14)
          x= -19 dan y= -16
          x= -2 dan y= 14
          

2.  Diketahui ∆ ABC dengan titik-titik A (-1 , 5), B (-1 , 1), dan C (2 , 1).

     Apakah segitiga ABC merupakan segitiga siku-siku? Jelaskan.
     Pembahasan : 
     A (-1 , 5), dan B (-1 , 1)
     x = -1 dan y = 5
     x = -1 dan y = 1
     

     B (-1 , 1), dan C (2 , 1)

     x = -1 dan y = 1
     x = 2 dan y = 1
     

     A (-1 , 5), dan C (2 , 1)

     x = -1 dan y = 5
     x = 2 dan y = 1
     

     Bisa kita lihat pembuktiannya

     AB² + BC² = AC²
     4² + 3² = 5²
     16 + 9 = 25
           25 = 25
     Jadi Δ ABC merupakan segitiga siku-siku, karena ketiga sisinya 
     merupakan tripel pythagoras.

3.  Tentukan luas daerah yang diarsir dari setiap gambar berikut

   

         Pembahasan:

     a.  Tinggi segitiga sama dengan diameter setengah lingkaran (t = d)
          misal : alas = a
          tinggi = b
          hipotenusa = c
          Menentukan tinggi atau diameter
          a² + b² = c²
          16² + b² = 20²
          256 + b² = 400
          b² = 400 – 256
          b² = 144
          b = √144
          b = 12
          Jadi diameter setengah lingkaran dan tinggi segitiga adalah 12 cm
          jari-jari setengah lingkaran = 12/2 = 6 cm
          L arsir 1/2 lingkaran
          Luas = 1/2 π r²
                  = 1/2 × 3,14 × 6 × 6 cm²
                  = 3,14 × 18 cm²
                  = 56,52 cm²
          Luas segitiga
          L segitiga = 1/2 × a × t
                         = 1/2 × 16 × 12 cm²
                         = 96 cm²
          Jadi luas yang diarsir setengah lingkaran adalah 56,52 cm²
     b.  Untuk Δ ABC
          AB² = AC² + BC²
          AB² = 20² + 15²
          AB² = 400 + 225
          AB² = 625
          AB = √625
          AB = 25 cm
          L Δ ABC = 1/2 × AC × BC
                          = 1/2 ×20 × 15 cm²
                          = 150 cm²
          Untuk Δ ACD
          AC² = AD² + CD²
          20²  = 12² + CD²
          400 = 144 + CD²
          CD² = 400 – 144
          CD² = 256
          CD = √256
          CD = 16 cm
          L Δ ACD = 1/2 × AD × CD
                          = 1/2 × 12 × 16 cm²
                          = 96 cm²
 
          L seluruh = L Δ ABC + L Δ ACD
                          = 150 cm² + 96 cm²
                          = 246 cm²
          Jadi luas diarsir ABCD adalah 246 cm²
4.  Guru meminta kalian untuk menentukan jarak antara dua titik (4,2) dan (7,6).
     kamu menggunakan (4,2) sebagai (x1,y1) sedangkan temanmu menggunakan 
     (7,6) sebagai (x1,y1).
     Apakah kamu dan temanmu memperoleh hasil yang sama? Jelaskan
     Pembahasan:
     Jarak dua titik , titik (4,2) dan titik (7,6)
     Rumus pythagoras:
     a = √{(y– y)² + (x – x)²}
     Pada saat (4, 2) sebagai (x, y) adalah
     a = √{(6 – 2)² + (7 – 4)²}
     a = √(4² + 3²)
     a = √(16+9)
     a = √25
     a  = 5
     Pada saat (7, 6) sebagai (x, y) adalah
     a = √{(y– y)² + (x – x)²}
     a = √{(2 – 6)² + (4 – 7)²}
     a = √{(-4)² + (-3)²}
     a = √(16+9)
     a = √25
     a = 5
     Ternyata hasilnya sama, karena bilangan negatif bila dikuadratkan hasilnya positif,
     sehingga dibolak-balik angkanya meskipun yang pertama hasilnya positif

     dan yg kedua hasilnya negatif tetap sama

5.  Ahmad dan Udin berdiri saling membelakangi untuk main tembak-tembakan 
     pistol bambu. Ahmad berjalan 20 langkah ke depan kemudian 15 langkah 
     ke kanan. Pada saat yang sama, Udin berjalan 16 langkah ke depan kemudian 
     12 langkah ke kanan. Udin berhenti kemudian menembak Ahmad.

     a.  Gambar situasi di atas dengan menggunakan bidang kartesius.
     b.  Berapa langkah jarak mereka berdua saat Udin menembak Ahmad dengan pistol bambu?
     
     Pembahasan:
     a.  Gambar situasi  menggunakan bidang kartesius.
          


     b.  Jarak langkah mereka berdua saat Udin menembak Ahmad bisa menggunakan dua cara.

          1.  Menghitung petak langkah dengan menggunakan pythagoras
               c² = a² + b²
               AU² = (20 + 16)² + (15 + 12)2
               AU² = 36² + 27²
               AU² = 1296 + 729
               AU² = 2025
               AU = √2025
               AU = 45 satuan langkah
               Jadi jarak mereka berdua saat Udin menembak Ahmad dengan pistol bambu 
               adalh 45 langkah.

          2.  Menghitung jarak dua titik antara Ahmad dan Udin yaitu (-20 , 15) dan (16 , -12)
             

                Jadi jarak mereka berdua saat Udin menembak Ahmad dengan pistol bambu 
                adalh 45 langkah.

6.  Seorang atlet tenis mengajukkan pertanyaan kepada wasit. Suara atlet mampu 
     didengar wasit hanya pada jarak maksimum 30 kaki. Berdasarkan posisi wasit 
     dan atlet tenis pada gambar berikut, dapatkah wasit mendengar suara sang atlet? 
     Jelaskan jawaban kalian
     

.
     Pembahasan:

     Diketahui : 
     jarak antara wasit dan atlet = 24 kaki
     ketinggian wasit melihat = 12 kaki
     tinggi atlet = 5 kaki
    
     Ditanyakan : 

     dapatkah wasit mendengar suara sang atlet, jika jarak maksimum pendengaran 30 kaki?


     Jawab:
     


     Untuk menghitung jarak pendengaran kita bisa gunakan pythagoras

     c² = a² + b²
     x² = 24² + (12 – 5)²
     x² = 24² + 7²
     x² = 576 + 49
     x² = 625
     x  = √625
     x  = 25 kaki
     Jadi jarak pendengaran wasit dan atlet adalah 25 kaki, maka suara wasit dapat 
     terdengar karena < 30 kaki.

7.  Tinggi sebuah jendela lantai 2 pada sebuah gedung kira-kira 8 meter .
     Di depan gedung tersebut ada sebuah taman dengan lebar 6 meter.
     Berapa panjang tangga minimum yang dibutuhkan agar kaki-kaki
     tangga tidak merusak taman tersebut ?
     Pembahasan:

     Diketahui

     Tinggi jendela lantai 2 = a = 8 meter
     Lebar taman = b = 6 meter
     Ditanyakan
     Panjang tangga minimum yang dibutuhkan agar kaki-kaki tangga
     tidak merusak taman tersebut c = …?
     Jawab
     Dengan menggunakan teorema pythagoras, diperoleh
     c² = a² + b²
     c² = 8² + 6²
     c² = 64 + 36
     c² = 100
     c = √(100)
     c = 10  
     Jadi panjang tangga minimum yang dibutuhkan agar kaki-kaki tangga    
     tidak merusak taman tersebut adalah 10 meter
8.  Seorang penyelam dari tim sar mengaitkan dirinya pada tali sepanjang 
     25 m untuk mencari sisa-sisa bangkai pesawat di dasar laut. 
     Laut diselami memiliki kedalaman 20 meter dan dasarnya rata.
     

   

     Pembahasan:
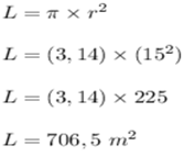
     Mencari panjang Jari-Jari (r) = Sisi Alas Δ:
     Sisi Miring = 25 m
     Sisi Tegak = 20 m
     

     Luas Daerah = Luas Lingkaran adalah

     π = 3,14
     

     Jadi daerah dasar laut yang dapat dijangkau oleh penyelam adalah seluas 706,5 m².

9.  Tentukan panjang AG dari bangun berikut?
     

     Pembahasan:

     a.  Pada kubus ABCD.EFGH
          AG² = s² + s² + s²
          AG² = HG² + FG² + BF²
          AG² = 10² + 10² + 10²
          AG² = 10² × 3
           AG = √(102  × 3)
           AG = √(100  × 3)
           AG = 10√3
           Jadi panjang AG pada kubus adalah 10√3
     b.  Pada balok ABCD.EFGH
          AG² = p² + l² + t²
          AG² = HG² + FG² + BF²
          AG² = 5² + 5² + 10²
          AG² = 25 + 25 + 100
          AG² = 150
           AG = √150
           AG = √(25 x 6)
           AG = 5√6
          Jadi panjang AG pada balok adalah 5√6
10. Bola A dan bola B digantung pada suatu kawat lurus seperti pada gambar di bawah.
      Diameter Bola A dan bola B berturut-turut adalah 8 dan 18. Jika jarak ujung tali l dan n
      pada kawat adalah 5 dan panjang tali l adalah10, berapakah panjang minimum tali n agar
      kedua tali bisa sejajar dan bola tidak saling menekan?
      

     Pembahasan:
   

     Dari perpanjangan tali n, sehingga terbentuk persegi panjang ADEF dan segitiga ABD

      Diketahui : 
      panjang tali l = 10 cm
      AF = DE = ¹/ × 8 = 4 cm
      BC = ¹/ × 18 = 9 cm
      AB = AF + BC = 4 + 9 = 13 cm
      EF = AD = 5 cm
      Ditanyakan : 
      panjang minimum tali n agar kedua tali bisa sejajar dan bola tidak saling menekan ?
      Jawab : 
      Perhatikan segitiga siku-siku ADB :
      AB² = AD² + BD²
      13² = 5² + BD²
      169 = 25 + BD²
      BD² = 169 – 25
      BD² = 144
       BD = √144
       BD = 12 cm
      CD = BD – BC
      CD = 12 – 9
      CD = 3 cm
      Panjang tali n = panjang tali l + DE + CD
                             = 10 cm + 4 cm + 3 cm
                             = 17 cm
      Jadi panjang minimum tali n agar kedua tali bisa sejajar dan bola tidak saling 
      menekan adalah 17 cm