SOAL DAN PEMBAHASAN BUKU SISWA MATEMATIKA KLS 10 LATIHAN 3.1
HALAMAN 77
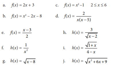
1. Tentukanlah daerah asal dan daerah hasil fungsi yang disajikan pada grafik berikut
Pembahasan :
Diberikan beberapa buah grafik fungsi seperti tampak pada gambar terlampir.
Pertanyaan:
Tentukanlah daerah asal dan daerah hasil dari fungsi-fungsi tersebut.
Penyelesaian:
Untuk menentukan daerah asal dari suatu grafik, perhatikan batas-batas atau ujung-ujung, serta nilai-nilai ekstrim grafik sepanjang sumbu x.
Untuk menentukan daerah hasil dari suatu grafik, perhatikan batas-batas atau ujung-ujung, serta nilai-nilai ekstrim grafik sepanjang sumbu y.
a. Daerah asal = {x | x ∈ bilangan real}
Daerah hasil = {y | 0 < y ≤ 5, y ∈ bilangan real}
b. Daerah asal = {x | x ∈ bilangan real}
Daerah hasil = {y | y ≥ -2, y ∈ bilangan real}
c. Daerah asal = {x | -2 < x ≤ 8, x ∈ bilangan real}
Daerah hasil = {y | 1 < y ≤ 6, y ∈ bilangan real}
d. Daerah asal = {x | x ∈ bilangan real, x ≠ 4}
Daerah hasil = {y | y ∈ bilangan real, y ≠ -1}
e. Daerah asal = {x | x ≥ -3, x ∈ bilangan real}
Daerah hasil = {y | y ≥ -5, y ∈ bilangan real}
f. Daerah asal = {x | x ∈ bilangan real, x ≠ -3, x ≠ 3}
Daerah hasil = {y | y ∈ bilangan real, y ≠ 0}
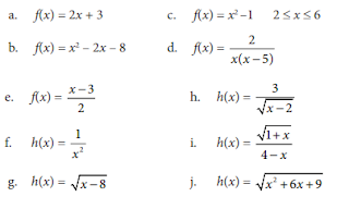
2. Tentukanlah daerah asal dan daerah hasil fungsi berikut
Pembahasan :
E. Daerah asal= {x € R }
(x adalah elemen bilangan riil)
f. Daerah asal= {x € R | x =/ 0}
(x adalah elemen bilangan riil, x tidak boleh sama dengan 0}
g. Daerah asal= {x € R | x > 8}
(x adalah elemen bilangan riil, x lebih besar dari sama dengan= 8}
h. Daerah asal= {x € R | x > 2}
(x adalah elemen bilangan riil, x lebih besar dari 2}
i. Daerah asal diatas = {x € R | x >= 0}
(x adalah elemen bilangan riil, x lebih besar dari sama dengan 0)
Daerah asal dibawah= {x € R | x =/ 4}
(x adalah elemen bilangan riil, x tidak boleh sama dengan 4)
j. Daerah asal= {x € R}



