Soal dan jawaban belajar dari rumah SMA/SMK Selasa 28 April 2020 TVRI
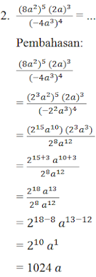
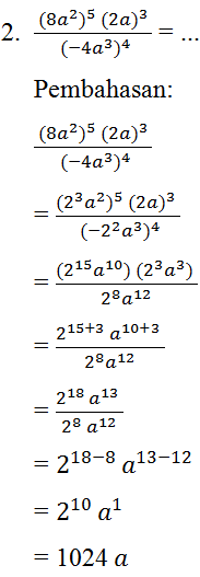
2.  Perhatikan di bawah
3.  Seorang peneliti bidang mikrobiologi di sebuah lembaga penelitian sedang 
     mengamati perkembangan 50 bakteri di sebuah laboratorium. Pada kultur 
     bakteri tersebut, satu bakteri membelah menjadi 2 bakteri setiap jam. 
     Akan ada berapa banyak bakteri dalam waktu 8 jam?
     Pembahasan:
     Diketahui :
     a = 50
     r = 2
     Ditanyakan : U8 = ….?
     Jawab :
     Un = a × rn
     U8 = 50 × 28
     U8 = 50 × 256
     U8 = 12.800
     Jadi banyak bakteri dalam waktu 8 jam adalah 12.800 bakteri
     CARA LAIN
     Diketahui :
·         ada 50 bakteri
·         satu bakteri membelah menjadi 2 bakteri setiap 1 jam
     Ditanyakan : Ada berapa banyak bakteri dalam waktu 8 jam?
     Jawab : 50 bakteri x 28 = 12800 bakteri
     Jadi jumlah bakteri dalam waktu 8 jam adalah 12.800 bakteri
                        
                    


