Seorang peneliti bidang mikrobiologi di sebuah lembaga penelitian sedang mengamati perkembangan 50 bakteri di sebuah laboratorium
1. (4)3/2 + (27)2/3 – (625)1/4 = ….
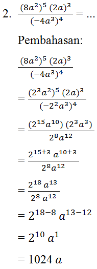
Pembahasan:
2. Perhatikan di bawah
3. Seorang peneliti bidang mikrobiologi di sebuah lembaga penelitian sedang
mengamati perkembangan 50 bakteri di sebuah laboratorium. Pada kultur
bakteri tersebut, satu bakteri membelah menjadi 2 bakteri setiap jam.
Akan ada berapa banyak bakteri dalam waktu 8 jam?
Pembahasan:
Diketahui :
a = 50
r = 2
Ditanyakan : U8 = ….?
Jawab :
Un = a × rn
U8 = 50 × 28
U8 = 50 × 256
U8 = 12.800
Jadi banyak bakteri dalam waktu 8 jam adalah 12.800 bakteri
CARA LAIN
Diketahui :
· ada 50 bakteri
· satu bakteri membelah menjadi 2 bakteri setiap 1 jam
Ditanyakan : Ada berapa banyak bakteri dalam waktu 8 jam?
Jawab : 50 bakteri x 28 = 12800 bakteri
Jadi jumlah bakteri dalam waktu 8 jam adalah 12.800 bakteri



