Latihan Soal Dan Pembahasan Pas Matematika Kelas 9 Tahun 2019

November 30, 2019
107
Views

LATIHAN SOAL DAN PEMBAHASAN PAS MATEMATIKA KLS 9 TH 2019

1.  Tentukan nilai dari hasil perkalian berikut!
     a.  x5  x-3
     b.  a10/2  x  a-6/2
     c.  3x  2-3
     d.  57  5-15
     Pembahasan :
     a.  x5  x-3= x5 + (-3) = x2
     b.  a10/2  x  a-6/2  = a5  x  a-3  = a5 + (-3) = a2
     c.  3x  2-3  = 3x  1 / 23  = 9 x 1/8 = 9/8
     d.  57  5-15= 57 + (-15) = 5-8 = 1/58

2.  Bentuk bilangan berpangkat negatif dari 25 adalah ….
     Pembahasan :
     25 = 52= 1/5-2

3.  Tuliskan dalam bentuk pangkat negatif
     a.  53
     b.  (-6)2
     c.  1 / 24
     d.  1 / (-3)5
     Pembahasan :
     a.  53  = 1 / 5-3
     b.  (-6)2  = 1 / (-6)-2
     c.  1 / 2= 2-4
     d.  1 / (-3)5 = (-3)-5

4.  Tentukan nilai dari pangkat pecahan berikut.
     a.  (8)2/3
     b.  (256)3/4
     c.  (243)2/3
     d.  813/2
     e.  1001/2  x  322/5
     Pembahasan
     a.  (8)2/3 = (23)2/3= 23 x 2/3 = 26/3 = 22 = 4
     b.  (256)3/4 = (44)3/4 = 44 x 3/4  = 412/4 = 43 = 64
     c.  (243)2/3  = (35)2/3 =  35 x 2/3  = 310/3
     d.  813/2  = (34)3/2 =  34 x 3/2  = 312/2 = 36 = 729


     e.  1001/2  x  322/5 = (102)1/2 x (25)2/5 = 10 x 22 = 40

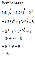
5.  Hasil dari (81)1/2 + (27)2/3 – 2adalah…

     

6.  a.  Tentukan hasil dari (23 x 2-5)1/2
          Pembahasan:
          (23 x 2-5)1/2= {23 + (-5)}1/2 =(2-2)1/2 = 2-1= 1/21 = ½
     b.  Hasil dari 2-1 + 3-1adalah ….
          Pembahasan:
          2-1 + 3-1 = 1/2 + 1/3 = 3/6 + 2/6 = 5/6
     c.  Hasil dari (322)-2/5 adalah ….
          Pembahasan:
          (322)-2/5  = 322 x -2/5 = 32-4/5 = (25)-4/5 = 2-20/5 = 2-4 = ½4 = 1/16
     d.  Hasil dari (641/2)4/3  adalah ….
          Pembahasan:
           (641/2)4/3  = 641/2 x 4/3 = 644/6 = (26)4/6 = 24 = 16

7.  Nilai dari 4m + 2 = 64 , maka nilai m ?
     Pembahasan:
     4m + 2 = 64
     4m + 2 = 43 karena bilangan pokok sama
     m + 2 = 3
     m = 3 – 2
     m = 1

8.  Hasil dari 4√27 – √48 + 53  adalah….



9.  Sederhanakan!
   

10 Bentuk baku/ilmiah dari 0,0000345 adalah
     Pembahasan:
     0,0000345 = 3,45  10-5

11 Akar-akar persamaan kuadrat x2– x – 6 = 0 adalah….
     Pembahasan: cara cepat
     x2– 1x – 6 = 0
     2  -3 = -6
     2 + -3 = -1  Jadi 2 dan -3
     (x + 2)(x – 3) = 0
     x = -2 atau x = 3

12 Himpunan penyelesaian dari x2 + 5x + 6 = 0 adalah
     Pembahasan:
     x2 + 5x + 6 = 0
     2  3 = 6
     2 + 3 = 5  Jadi 2 dan 3
     (x + 2)(x + 3) = 0
     x = -2 atau x = -3


     Jadi hp = {-2, -3}

13.Rasionalkan penyebut dari



14 Persamaan kuadrat yang akar- akarnya 6 dan -3 adalah
     Pembahasan:
     x = 6 dan x = -3
     (x …..)(x……) catatan – jadi+ atau
                                  + jadi –
 



    (x – 6)(x + 3) = x² + 3x – 6x -18
                          = x² – 3x – 18

15.Jika x = 2 merupakan salah satu akar persamaan
     x² + 5x + a = 0, maka nilai a adalah..
     Pembahasan:
     x² + 5x + a = 0
     x = 2 substitusikan ke x² + 5x + a = 0 didapat
     2² + 5(2) + a = 0
     4 + 10 + a = 0
     14 + a = 0
     a = -14

16.Persamaan kuadrat dx2 – 4x + 3 = 0 mempunyai
     akar–akar yang sama. Nilai d = …
     Pembahasan:
     dx2– 4x + 3 = 0 dimana a = d, b = -4 dan c = 3
     D = b2 – 4ac = (-4)2 – 4. d. 3 = 16 – 12d
     Syarat agar persamaan kuadrat mempunyai
     akar-akar yang sama adalah D = 0
     D = 0
     16 – 12d = 0
     16 = 0 + 12d
     12d = 16


     d = 16/12 = 4/3

17.Lebar sebuah kebun berbentuk persegipanjang
     5 m lebih pendek dari panjangnya. Jika luas kebun
     300 m2. Tentukan panjang dan lebarnya.
     Pembahasan:

 

     L = p x l

     300 = x (x – 5)

     300 = x2 – 5x 
     x2  –  5x = 300
     x2  –  5x – 300 = 0
     -20 x 15 = -300
     -20 + 15 = -5 Jadi -20 dan 15
     (x – 20)(x + 15) = 0
     x = 20 atau x = -15 jadi panjang = 20m karena +
      dan lebar = x – 5 = 20 – 5 = 15m

18. Jika nilai diskriminan dari 3x2 + ax – 8  = 0
      adalah 132, maka nilai a adalah…
       Jawab:
       a = 3 , b = a dan c = -8
       D = b²- 4ac
       132 = a²- 4(3)(-8)
       132 = a2 + 96
       a2 = 132 – 96
       a2 = 36
       a = √ 36  = 6

19. Diketahui f(x) = 4(x – 1)2 + 6.
     Nilai a + b + c adalah ….
     Pembahasan:
     4(x – 1)2 + 6
     = 4{(x – 1)(x – 1)} + 6
     = 4(x2 – x – x + 1) + 6
     = 4(x2 – 2x + 1) + 6
     = 4x2 – 8x + 4 + 6
     = 4x2 – 8x + 10 maka
      a = 4 , b = -8 dan c = 10
     Jadi nilai a + b + c = 4 + (-8) + 10 = 6

20. Jika titik B(-2, p) terletak pada grafik
      f(x) = 4 – 4x – x2 , maka nilai p adalah
      Pembahasan:
      f(x) = y pada B(-2, p) maka x = -2 dan y = p
      f(x) = 4 – 4x – x2
      y = 4 – 4x – x2 
      p = 4 – 4(-2) – (-2)2
      p = 4 + 8 – (4)
      p = 4 + 8 – 4
      p = 8
     Jadi, nilai p adalah 8

21. Grafik fungsi y = x2 – 5x – 9 memotong
     sumbu y di titik ….
     Pembahasan:
     Memotong sumbu y maka x = 0
     y = f(x) = x2 – 5x – 9
     y = f(0) = 02 – 5(0) – 9
                   = 0 – 0 – 9
                   = -9
     Jadi x = 0 dan y = -9 sehingga
     memotong sumbu y di titik (0, -9)

22. Pembuat nol pada fungsi
       f(x) = x2 – x – 12 adalah….
      Pembahasan: ingat   y = f(x)
      y = x² – x – 12
      Pembuat nol fungsi, maka y = 0
      x² – x – 12 = 0
      (x – 4) (x + 3) = 0
      x = 4 atau x = -3
      Jadi pembuat nol fungsi adalah -3 dan 4

23. Persamaan Sumbu Simetri grafik fungsi
       kuadrat y = 6x2 – 4x + 1 adalah….
       Pembahasan:
       y = 6x² – 4x + 1
       a = 6 , b = -4 dan c = 1
       Sumbu simetri = -b/2a
                               = -(-4) / 2(6)
                               = 4/6

24. Tentukan persamaan grafik fungsi kuadrat yg memotong
      sumbu X di titik (2.0) dan (-3,0) serta melalui titik (4,-28),
      Pembahasan:
      Y = a (x – x1) . (x – x2) rumus
      -28 = a . (4 – 2) . (4 + 3)
      -28 = a . 2 . 7
      a = -28/14
      a = -2

      y = a . (x – x1) . (x – x2)
      y = (-2) . (x – 2) . (x + 3)
      y = (-2) . (x² + 3x – 2x – 6)
      y = (-2) . (x² + x – 6)
      y = -2x² – 2x + 12 Jadi, per fungsi kuadrat = f(x) = -2x² – 2x + 12

25. Tentukan koordinat titik balik dari f(x) = -x² + 4x + 5
      Pembahasan:
      f(x) = -x² + 4x + 5
      a = -1; b = 4; c = 5.

      Sumbu simetri
      = -b/2a
      = -4/(2 .(-1))
      =  -4/(-2)
      = 2

      f(2) = – (2)² + 4 . 2 + 5
      f(2) = -4 + 8 + 5
      f(2) = 9
      Jadi koordinat titik balik = (2, 9)


26 Diketahui fungsi f(x) = x2 + 3x – 4. Tentukan
     a.  Persamaan sumbu simetri
     b.  Nilai optimum
     d.  Titik potong dengan sumbu x  
     Pembahasan:
     a.  f(x) = x2 + 3x – 4 atau bisa ditulis y = x2 + 3x – 4
          a = 1 , b = 3 , c = -4
          a > 0 grafik fungsi terbuka ke atas
          Garis sumbu simetri diperoleh dari x = -b/a = -3/1 = -3

                                       f(-3) = (-3)2 + 3(-3) – 4
                                                   = 9 + (-9) – 4
                                                   = 9 – 9 – 4
                                                   = -4      
          Jadi titik minimum adalah {-3  , -4}

     c.  Titik potong grafik dengan sumbu y diperoleh untuk x = 0
           f(x) = x2 + 3x – 4
           f(0) = 02 + 3(0) – 4
                  = 0 + 0 – 4
                  = -4  sehingga titik potongnya (0 , -4)

     d.  Titik potong grafik dengan sumbu x diperoleh
           D = b2 – 4ac = 32 – 4(1)(-4) = 9 + 16 = 25 > 0
           Berarti D > 0 berarti mempunyai dua titik potong
            x1 = (-b + D) / 2a
                = (-3 + 25) / 2(1)
                = (-3 + 5) / 2 = 2/2 = 1
            x2 = (-b – D) / 2a
                = (-3 – 25) / 2(1)
                = (-3 – 5) / 2 = -8/2 = -4
            Sehingga titik potong dengan sumbu x adalah (1 , 0) dan (-4 , 0)

27.Sebuah roket ditembakkan keatas setelah t detik
     Dinyatakan dengan rumus h (t) = 80 t – 5² meter,
     tinggi maksimum yang dapat dicapai roket adalah… 
     H(t) = 80t – 5t²
     h'(t) = 80 – 10t

     Mencapai maksimum saat h'(t) = 0
     80 – 10t = 0
     80 = 10t
     t = 8

     Ketinggian saat t = 8
     h(t) = 80t – 5t²
     h(8) = 80(8) – 5(8)²
     h(8) = 640 – 320
     h(8) = 320 m


28.Tentukan bayangan titik P(1, 4) dan titik Q(2, -4) oleh
     translasi T(3, -2).
     Pembahasan :
     a.  P(1, 4) oleh T(3, -2) sehingga P’ = (1 + 3 , 4 + (-2) = P’(4, 2)
     b.  Q(2, -4) oleh T(3, -2) sehingga Q’ = (2 + 3 , -4 + (-2) = Q’(5, -6)

29. Bayangan titik (-2, 3) oleh refleksi (pencerminan) terhadap garis y = x,
      kemudian dilanjutkan terhadap garis y = 4
      Pembahasan :
      P(x, y)         Y = X       .  P’(y, x)       
      P(x, y)         Y = b       .   P’(x, 2b – y)
      P(-2, 3)        Y = X       .  P’(3, -2)         Y = 4     .  P’’(3 , 2. 4 – (-2) = P’’(3, 10)

30.Bayangan garis y = 3x -5 oleh translasi
     T (-2,1) adalah
     Pembahasan:
     Bayangan garis y = 3x – 5 oleh translasi T 

     x’ = x – 2
     x = x’ + 2

     y’ = y + 1
     y = y’ – 1

     Subsitusikan ke y = 3x – 5
     y’ – 1 = 3(x’ + 2) – 5
     y’ – 1 = 3x’ + 6 – 5
     y’ – 1 = 3x’ + 1
     y’ = 3x’ + 1 + 1
     y’ = 3x’ + 2
     Jadi bayangan garis y = 3x – 5 oleh translasi 

     adalah y = 3x + 2