Tak Berkategori

LATIHAN SOAL DAN PEMBAHASAN MATERI PERPANGKATAN KLS 9 SMP 2019

November 16, 2019
124
Views

LATIHAN SOAL DAN PEMBAHASAN MATERI PERPANGKATAN KLS 9 SMP 2019
1.  Tentukan nilai dari hasil perkalian berikut!
     a.  x5  x-3
     b.  a10/2  x  a-6/2
     c.  3x  2-3
     
     Pembahasan :
     a.  x5  x-3= x5 + (-3) = x2
     b.  a10/2  x  a-6/2  = a5  x  a-3  = a5 + (-3) = a2
     c.  3x  2-3  = 3x  1 / 23  = 9 x 1/8 = 9/8
2.  Tuliskan dalam bentuk pangkat negatif
     a.  53
     b.  (-6)2
     c.  1 / 24
     d.  1 / (-3)5
     
     Pembahasan :
     a.  53  = 1 / 5-3
     b.  (-6)2  = 1 / (-6)-2
     c.  1 / 2= 2-4
     d.  1 / (-3)5  = (-3)-5
3. Tim peneliti dari Dinas Kesehatan suatu daerah di Indonesia Timur meneliti
     suatu wabah yg sedang berkembang di Desa X. Tim peneliti tersebut menemukan
     fakta bahwa wabah yg berkembang disebabkan oleh virus yg tengah berkembang
     di Afrika. Dari hasil penelitian didapatkan bahwa virus tersebut dapat berkembang
     dengan cara membelah diri menjadi 2 virus setiap setengah jam dan menyerang
     sistem kekebalan tubuh. Berapa banyak virus dalam tubuh manusia setelah 6 jam ?
     
     Pembahasan :
     Diketahui:
     a = 1 (bakteri mula-mula)
     r = 2 (membelah menjadi dua setiap setengah jam)
     Ditanya : Jumlah bakteri dalam 6 hari?
     Jawab :
     Pertama tentukan terlebih dahulu nilai n:
     n = 6 jam : 30 menit
     n = 6(60) : 30
     n = 360 : 30
     n = 12
     Banyak virus setah 6 jam :
     Un = a x rn
     U12 = 1 x 212
     U12 = 1 x 4096
     U12 = 4.096 bakteri
  
4.  Tentukan nilai dari pangkat pecahan berikut.
     a.  (8)2/3
     b.  (256)3/4
     c.  (243)2/3
     d.  813/2
     e.  1001/2  x  322/5
     
     Pembahasan :
     a.  (8)2/3 = (23)2/3= 23 x 2/3 = 26/3 = 22 = 4
     b.  (256)3/4 = (44)3/4 = 44 x 3/4  = 412/4 = 43 = 64
     c.  (243)2/3  = (35)2/3 =  35 x 2/3  = 310/3
     d.  813/2  = (34)3/2 =  34 x 3/2  = 312/2 = 36 = 729

     e.  1001/2  x  322/5 = (102)1/2x (25)2/5 = 10 x 22 = 40

5.  Tentukan nilai dari perpangkatan berikut ini :
     a.  3³ × 2 × 3
     b.  (2² × 1) + 50
     c.  13 / 2  x  {(1/2)3}4
     
     Pembahasan :
     a.  3³ × 2 × 3 = 2 × 3³⁺⁷ = 2 × 3¹ = 2 × 59049 = 118098
     b.  (2² × 1) + 50 = (4 × 1) + 50 = 4 + 50 = 54
     c.  13 / 2  x  {(1/2)3}4
          = 1/2 x (1/2)3×4
          =  1/2 x (1/2)12
          =  (1/2)1+12
          =   (1/2)13
6.  Tentukan nilai x yang memenuhi persamaan berikut ini.
     a.  (3x)x = 81
     b.  1/64 x 4x x 2x = 64
    
     Pembahasan :
     a.  (3x)x = 81
          3x^2 = 34  karena bilangan pokok sama maka,
          x2 = 4
          x = 2 atau x = -2
     b.  1/64 x 4x x 2x = 64
          1 / 26 x (22)xx 2x = 64
          2-6 x 22x + x  = 64
          2-6 + 2x + x= 64
          23x – 6  = 26 karena bilangan pokok sama maka,
          3x – 6 = 6
          3x = 6 + 6
          3x = 12
          x = 12/3
          x = 4

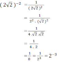
7.  Hasil dari (2√2)^-2 adalah ….
     Pembahasan:

8.  Hasil dari 3√6 x 2√2 + 4√3
     Pembahasan :